微塑料大量存在于环境中,是重金属、有机物等污染物的理想载体,可以被多种海洋及淡水生物摄食并在食物链发生富集和转移,对生物多样性和生态系统的安全构成威胁,被称为水体中的PM2.5。近年来,我校水环境保护与新兴污染物研究团队张彬教授指导研究生一直致力于微塑料,有机磷酸酯等新兴污染物的研究工作,近三年在环境领域高水平期刊Science of the Total Environment(SCI,中科院1区,影响因子10.753),Marine Pollution Bulletin(SCI,中科院1区,影响因子7.001),Journal of Oceanology and Limnology(SCI,中科院2区,影响因子1.265), Environmental Science and Pollution Research(SCI,中科院3区,影响因子5.190),Journal of Chemical Technology and Biotechnology(SCI,中科院3区,影响因子3.709)以第一作者或通讯作者身份发表系列研究成果多篇,主要阐释了沉积物中微塑料的丰度、形状、类型、来源和分布特征;评述了土壤及我国淡水水体及沉积物微纳米塑料的分析方法,污染特征及毒理效应;探究了微纳米塑料的降解方法及机理;分析了微塑料附着细菌群落的结构组成及形貌特征,并研究探讨了不同功能区、季节和基质化合物类型等因素对于微塑料附着生物膜的生长、微生物群落结构与组成的影响,预测了其微生物功能。获得的研究成果丰富了微塑料污染数据库,可为微塑料污染的防控及政府管理部门决策提供一定的理论支撑。

图1 MPs降解研究(刘凌尘等,Science of the Total Environment 2022)

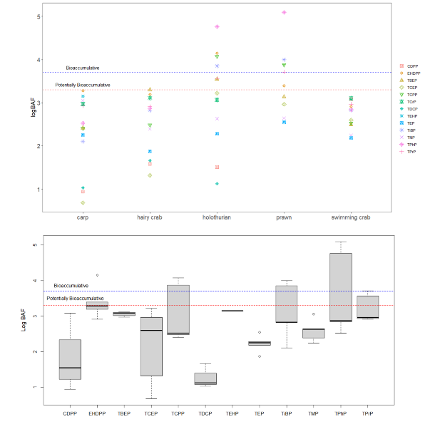
图2 5种水产养殖品种OPEs的生物积累因子(晁巾寓等,Journal of Oceanology and Limnology 2022)


图3 MPs风险分布图(陈亮等,Marine Pollution Bulletin 2022)

图4 NPs表征方法(晁巾寓等,Science of the Total Environment 2021)

图5 MPs碎片表面生物膜的立体结构随暴露时间的动态变化(杨鑫等,Science of the Total Environment 2021)

图6 土壤、土壤生物与MPs相互作用(杨鑫等,Journal of Chemical Technology and Biotechnology 2020)

图7 MPs在水环境中的迁移路径(陈亮等 Environmental Science and Pollution Research 2020)

图8 沉积物中MPs的丰度(吴迪等,Marine Pollution Bulletin 2019)
部分代表性成果原文链接:
1、On the degradation of (micro)plastics: Degradation methods, influencing factors, environmental impacts
2、Pollution characteristics and risk assessment of organophosphate esters in aquaculture farms and natural water bodies adjacent to the Huanghe River delta
3、Characteristics and spatiotemporal distribution of microplastics in sediments from a typical mariculture pond area in Qingduizi Bay, North Yellow Sea, China
4、Research progress of nanoplastics in freshwater
5、Spatial and seasonal variations in biofilm formation on microplastics in coastal waters
6、Microplastics in soils: a review of possible sources, analytical methods and ecological impacts
7、Research Progress of Microplastics in Freshwater Sediments in China
8、Microplastic pollution in the surface sediments collected from Sishili Bay, North Yellow Sea, China
注:研究生刘凌尘(2020级),晁巾寓(2019级),陈亮(2019级),杨鑫(2019级),吴迪(2016级)等同学为以上研究工作做出了主要贡献。

张彬,博士,教授,硕士生导师,四川省学术和技术带头人后备人选;成都市环境科学学会青年科学家工作委员会副主任委员;四川省生态文明促进会青年专家,理事;西华大学青年学者;教育部硕士学位论文评审专家,四川省科技厅专家库成员,重庆市科技局专家库成员,成都市生态环境局生态环境咨询专家,长江生态环境保护民主监督专家库专家。主持国家级、省部级等项目多项;参编编著1部,发表论文50余篇,以第一作者或通讯作者发表论文30余篇,SCI收录20余篇。主要从事新兴污染物,流域生态环境保护,市政工程等方面研究工作。自2016年指导研究生以来培养9名研究生有6人获得国家奖学金,3人获得学业一等奖学金;1人获得省级优秀毕业生,2人获得校级优秀毕业生。
地址:365电子官网·(中国)官方网站
邮编:610039
电话:028-87720552
传真:028-87720552
官方微信