欢迎访问365电子娱乐官方网站!2024年06月12日11时53分56秒
365电子娱乐官方网站
西华大学发酵调味品科学与工程团队:HS-SPME-GC×GC/MS结合多元统计分析研究罐式发酵甜瓣子的风味形成机理
作者:食品与生物工程学院“发酵调味品科学与工程”团队 发布时间:2023-02-28 浏览次数:447

近日,川渝共建特色食品重庆市重点实验室成员、365电子娱乐官方网站发酵调味品科学与工程团队在农林科学领域1TOP期刊Food Chemistry-X (Q1, IF:6.443)发表题为:HS-SPME-GC×GC/MS combined with multivariate statistics analysis to investigate the flavor formation mechanism of tank-fermented broad bean paste的研究性论文。西华大学2020级硕士研究生廖世琪为论文第一作者,川渝特色食品重庆市重点实验室林洪斌副教授为论文通讯作者。该研究工作得到了四川省科技厅重大专项项目(2020YFN0151)的支持


                                      

郫县豆瓣是著名的发酵调味品,被誉为“川菜之魂”。郫县豆瓣的制造技术已被认定为国家级非物质文化遗产,并被列入郫都区地理标志保护产品。郫县豆瓣的发酵过程分为前发酵和后发酵,前发酵又称甜瓣子发酵。甜瓣子发酵是郫县豆瓣发酵过程中重要的过程之一,它决定了郫县豆瓣的风味和产品质量。郫县豆瓣传统上采用开放式发酵,但后续产品在发酵过程中容易受到污染,而产品质量难以控制,近年来,罐式发酵设备的应用成为促进郫县豆瓣的标准化和工业化生产的亮点之一,然而罐式发酵甜瓣子的研究还不够成熟,需要大量的研究来奠定郫县豆瓣现代化改造的基础。对于罐式发酵,许多研究都集中在表征风味物质,确定关键的芳香化合物和鉴定微生物多样性上,虽然发酵调味品中的挥发性物质引起了相当多的研究关注,然而相关的产生机制尚不清楚。

因此本研究利用顶空固相微萃取(HS-SPME)收集挥发性成分,采用GC×GC-MS进行挥发性代谢物的非靶向检测。利用多变量统计分析筛选和比较差异代谢物并结合KEGG数据库分析相关的代谢途径以预测风味物质产生的可能机制。

结果表明,在发酵过程中鉴定出700多种化合物,同时通过结合多变量统计分析筛选出184种挥发性差异代谢物。通过KEGG数据库的注释分析,这些差异代谢物大部分注释到了碳水化合物和氨基酸相关的几种代谢途径,表明微生物对原料的代谢、芳香族化合物的降解等与挥发性化合物的产生密切相关。此外,揭示了发酵蚕豆瓣在不同发酵阶段的风味和颜色差异与挥发性物质的连续转化和积累密切相关。这些研究结果有助于从分子水平了解罐式发酵过程中的挥发性物质特性,为发酵工艺的现代化改造提供理论支撑。


     



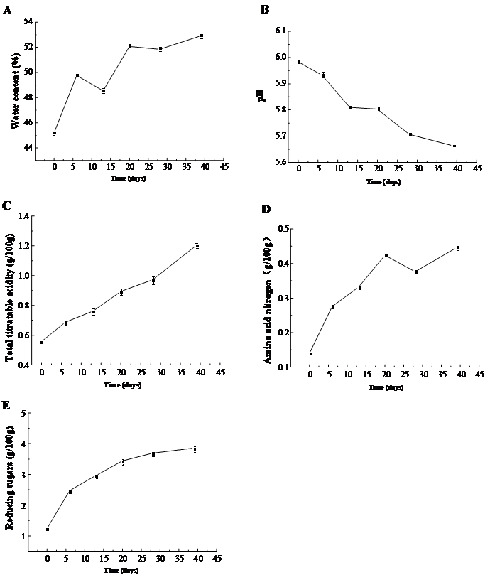
Fig. 2.The physicochemical parameters for the constant temperature fermentation of broad beans. (A) Water content. (B) pH. (C) Total titratable acid. (D) Amino acid nitrogen. (E) Reducing sugars. The experiment for each parameter was performed in triplicate, while the standard error was visualized via an error bar.

Fig. 3.The results of the multivariate statistical analysis of the fermented broad bean samples. (A) The PCA analysis of the volatile compounds identified in the broad beans at different fermentation periods. (B) The OPLS-DA score plot. (C) The result of 200 times permutation testing for OPLS-DA. Five parallel experiments were performed for each sample.

Fig. 4. The proportion of volatile differential compounds

Fig. 5.The heat map of the differential metabolite peak areas. A, B, C, D, E, and F represent the samples collected at 0 d, 6 d, 13 d, 20 d, 28 d, and 39 d of fermentation, respectively, while the numbers 1, 2, 3, 4, and 5 represent parallel experiments. The blue dots indicate the key flavor substances identified in previous studies

Fig. 6.KEGG pathway-based differential metabolite analysis. (A) The KEGG pathway annotated in the yeast database. (B) The KEGG pathway annotated in the Bacillus database. (C) The KEGG pathway annotated in the Staphylococcus database. The importance of pathways was visualized by the size and color shade of the bubbles. (D) A comparison between the color of the fermented broad beans. Images of the pre-, mid-, and post-fermentation stages are shown from left to right. (E) The degradation of toluene.

原文链接

原文链接



通讯作者简介

通讯作者简介

林洪斌,工学博士,副教授,硕士生导师,长期从事农产品加工及风味化学研究,近5年发表相关学术论文20余篇,其中SCI收录论文13篇,获授权发明专利7项。参与完成省级成果评价3项,获得四川省科技进步三等奖一项,四川省食品工业科学技术二等奖一项,郫县科技进步一等奖一项。其所在发酵调味品科学与工程团队长期专注于以郫县豆瓣、四川泡菜为代表的四川地方特色发酵食品的相关研究,合作企业达40余家,共建国家企业技术中心、国家工程实验室、川渝共建重庆市重点实验室及四川省川菜特色调味品工程技术研究中心等国家和省部级平台6个,校企联合实验室12个。先后承担并完成国家和省部级等各类课题50余项,获得中国轻工业联合会、四川省科技进步奖和成都市科技进步奖7项,发表学术论文200余篇,授权发明专利20余项。

责编:唐紫薇

编审:唐   洁




地址:365电子官网·(中国)官方网站

邮编:610039

电话:028-87720552

传真:028-87720552

官方微信